Generation of Coherent UV/VUV
Radiation by Harmonic Conversion
in Gases and Plasmas
The
phenomenon of Harmonic Generation (HG) has been studied since the development
of powerful pulsed lasers.
The main
aim is to convert visible/near infrared radiation
to
shorter coherent wavelengths up to the soft-Xray
region.
Brief
description of mechanism
o a
bound electron is modulated by the laser field

where a is the atomic
radius.
o In the weak field approximation
i.e.
XNL<< a
by series development one finds
1) The
Harmonic power is proportional to ILq
q=harmonic order, IL laser intensity
2) The
Harmonic spectrum is constituted by ODD HARMONICS
o In the strong field regime
i.e. XNL>»a IL³1013 W/cm2
1)
The Harmonic spectrum shows a
plateau and the dependence on laser intensity does not
follow a simple power dependence.
2)
The plateau ends up at a sharp
cut-off given by
![]()
where

is
the so-called ponderomotive potential.
-To the HG mechanism we have to add:


What we did and what we
are doing
-HG by Wave-mixing of fundamental and second harmonic
of a Nd-picosecond laser (100 mJ-20 ps)à
ODD and EVEN HARMONICS
-HG dependence on the interaction
length
Jet, Uniform density, Hollow fiber
-Characterization of the source in various configurations
Jet, Uniform density, Hollow fiber
HG versus Laser intensity
HG versus Gas Density
-Correlation between harmonic generation and ionization
-Absorption coefficient of gases in VUV region
-Frequency shift of harmonics (

-Development of Models for HG
Route to VUV SOURCE
Why Wave-mixing ?
Fundamental+II
Harmonic
Collinear
and parallel polarized
Four
Harmonics (III-VI) generated
by
mix of laser photons

Large enhancement of HG conversion
by Wave-mixing

-comparison of HG conversion
for III h and IX h with fundamental beam
and wave mixing.
Laser Nd-YAG
20 ps EXPLA
Max energy at 1064 nm= 100 mJ
Laser intensities I(1064)»I(532)
Experimental set-up
Gas jet and uniform density modes

Uniform
density means that the chamber is filled by gas.
Due to UV
gas absorption only harmonics up to X order
are
detectable except in Ar where spectrum is limited to
IX order.
X harmonic
in Ar matches a resonant line.
Typical spectra in Ar,N2
and CO2



comparison gas jet vs
uniform density

-Uniform
density (camera piena it.)
enhances the conversion efficiency
by
a factor of about 10
due
to the increase of the interaction length
Hollow fiber mode

-in the hollow
fiber laser beams propagate as a plain wave
along
the fiber.
-the
maximum coupling power is limited by
the
gas breakdown at the fiber entrance.
-in spite
of a large enhancement has been observed.



q harmonics
and ions correlation in N2 gas jet (III-V)


thick
line: ion signal; thin line: harmonic signal; similar results hold in Ar.
positive
delay means fundamental beam anticipated as compared to 2w beam.
ion profile
follows the harmonic correlation shape;
ionization
is not in competition with harmonic generation:
harmonic
signal grows up with ion signal within the temporal resolution.

VUV
Precision Metrology Study
for Determination of
Frequency Shift in Harmonic Generation

Experimental
set-up

Harmonic
frequency measured by
Absorption
of an atomic resonance line (Ar)






![]()









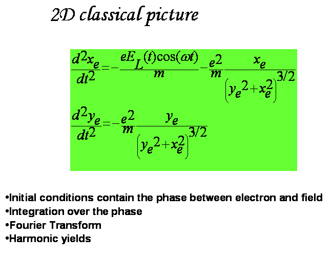
MODEL for Harmonic Generation
We are improving the simple 1 D model
Sketched above.
Since HG does not depend on the bound level structure
We are using a classical 2D-3D picture
For the motion of a bound electron
In the atomic potential

Results of the Model

Xe 100 ps

Kr 100 ps
Note the dominant role of ions